Podzemne vode u litosferi pojavljuju se u raznim vidovima u zavisnosti od agregatnog stanja i interakcije sa tlom i stenama.

U tlu je moguća pojava podzemnih voda u sva tri agregatna stanja:
- u vidu vodene pare;
- u vidu tečne vode, i
- u vidu leda.
U odnosu na čvrstu mineralnu česticu, podzemne vode mogu biti:
- slobodne;
- kapilarne;
- fizički vezane, i
- hemijski vezane.
Dreniranjem terena otklanjaju se, odnosno kontrolisano (željeno) odvode, samo slobodne, gravitacione vode, dok drugi vidovi voda ostaju u tlu, sem kapilarnih, koje zavise od slobodnih voda. Spuštanjem nivoa podzemnih voda ili njihovim odstranjivanjem, nivo dospeća kapilarnih voda opada, ili se potpuno eliminiše. Poznato je da kapilarno kretanje vode ne zavisi od gravitacije i da se ono vrši podjednako u svim pravcima, zavisno od orijentacije pora u tlu. Kapilarne vode, koje se kreću od površine terena ka unutrašnjosti zemlje, takođe se ne mogu odstraniti dreniranjem terena.
U nastavku teksta opisaćemo detaljnije sve vidove podzemnih voda.
Slobodne vode
Slobodne vode su nastale infiltracijom površinskih voda u zemljinu unutrašnjost i kondenzacijom vodene pare koja je dospela iz atmosfere u pore tla, u zoni aeracije. Pored kiša, slobodne vode u tlu u najvećim količinama nastaju topljenjem snega, infiltracijom voda iz rečnih tokova, itd.
Gravitacione (slobodne) vode kreću se u unutrašnjosti zemlje kroz pore i prsline, pod dejstvom gravitacije i hidrostatičkih sila. Na njih elektromolekularne sile ne deluju. Slobodne podzemne vode egzistiraju u porama i pukotinama prečnika 0,5mm. Znači, one postoje i kreću se u propusnim sredinama tla i stena, čiji je koeficijent filtracije veći od K=1x10-7 m1/s. Mase tla čija je propusnost veća od K=1x10-5 m1/sec, što se odnosi na peskove, peskovite šljunkove i šljunkove, predstavljaju vodonosne sredine.
Količina slobodnih voda u tlu je najveća u odnosu na druge vidove podzemnih voda. Ceni se da slobodne vode u litosferi ima 95% od svih vidova podzemnih voda. Skoro svi negativni agensi i fenomeni koji napadaju građevinski objekat, nastali su od slobodne podzemne vode. To znači da sile: hidrostatičkog i hidrodinamičkog pritiska, sile uzgona i pornih pritisaka, kao i fenomeni nastali u tlu prisustvom podzemne vode, kao što su bubrenje, skupljanje, mržnjenje, sufozija, itd., nastali su uglavnom dejstvom ili prisustvom slobodne vode. Zato je njeno uklanjanje, dreniranjem terena, veoma značajno po stabilnost građevinskog objekta i terena na kojem je objekat postavljen.
Slobodnih voda u unutrašnjosti zemlje najviše ima u peskovi.tjm ili šljunkovitim sedimentima, zatim u pukotinama i prslinama čvrstih stena, a ima ih i u prašinastim materijalima pomešanim sa glinama u manjem procentu, čiji je koeficijent filtracije manji od K=1x10-6 m1/s. Ona može biti lutajuća, ili akumulirana u vidu podzemnih jezera.
Stene i tla u terenu koje propuštaju i sprovode podzemnu vodu, nazivaju se hidrološkim kolektorima, a stene i tla koje ne propuštaju podzemnu vodu, nazivaju se hidrološkim izolatorima. U hidrološkc kolektore spadaju peskovita i šljunkovita tla, zatim porozni peščari i krečnjaci. Koeficijent fiitracije (K) kod hidroloških kolektora iznosi od 10-1 do 10-3 m/sec. Hidrogeolcške izolatore čine tla i stene od glina, glinovitih prašina, zatim jedre magmatske, sedimentne i metamorfne stene koje imaju malu poroznost n<4%, a koeficijenat filtracije K manji od 10-7 m/s.
Jedna od važnih karakteristika slobodnih podzemnih voda je njeno mehaničko i hemijsko rastvaračko dejstvo na stene i tla zemljine kore kroz koje prolazi.
Slobodne vode mogu se odstraniti iz tla pod temperaturom od 100°C.
Kapilarne vode
Kapilarne vode čine prelaz između fizički slabo vezanih voda i slobodnih podzemnih voda. One se nalaze u porama, na dodiru mineralnih zrna tla ili stena, u zonama nepotpune zasićenosti tla ili stena podzemnom vodom.
Kapilarne vode se javljaju u sitnim porama tla, obično iznad nivoa podzemnih voda. Nastale su od infiltracionih voda sa površine terena i od slobodnih voda u zemljinoj kori. Pod dejstvom kapilarnih sila, voda se kroz pore tla penje suprotno dejstvu gravitacije. Moguć je i suprotan slučaj, da pod dejstvom površinskih tokova, oformljena kapilarna voda ima tok poniranja u smeru gravitacione sile. Kapilarno prodiranje vode moguće je u svim pravcima, bez obzira na dejstvo sile gravitacije i drugih uticaja.
Kretanje vode kroz kapiiare obavlja se dejstvom intermolekularnih sila između molekula vode i tla, a vodeni kapilarni stub drži se u ravnoteži sa atmosferskim pritiskom zatežućom silom koja se javlja na obimu meniska kapilarne vode. Penjanje kapilarnih voda, kod otvorenih sistema, vrši se dok se ne postigne ravnoteža sa vazdušnim pritiskom, a kod zatvorenih sistema, kapilarne vode se penju dok se ne postigne ravnoteža između kapilarne sile i sile zbijenog vazduha ili vodene pare u kapilari.
Kapilarna voda se javlja isključivo kod koherentnih glinovitih tla u kojima su prisutne vrlo sitne prsline i kapilarne pore. Kod nekoherentnih tla (peskovi, šljunkovi), ona se vrlo slabo pojavljuje, gotovo zanemarljivo. Dreniranjem terena, kapilarna voda u porama tla može se indirektno otkloniti, odstranjivanjem slobodne vode u tlu, ili vode sa površine terena.
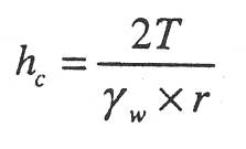
Po građevinski objekat kapilarne vode mogu biti štetne, jer se vlaga iz tla prenosi na temelje objekta i voda se, kapilarima temelja, opet može podizati do zidova građevine. Na taj način može se ugroziti stabilnost i funkcija objekta. Visina kapilarnog penjanja se može približno sračunati pomoću teoretski izvedene formule:

gde je :
T - sila površinskog napona koja dejstvuje na površini kapiiare;
r - poluprečnik kapilarne pore;
gw -zapreminska masa vode.
Fizički vezane vode
Fizički vezane vode se javljaju u vidu tankih opni koje obavijaju čvrstu česticu zrna tla, ili popunjavaju veoma uzane pore tla i stena -SI.1.

SI.1 Prikaz vezane i slobodne vode u tlu
Ove vode nastaju od infiltracionih voda koje iz atmosfere dopiru u zemlju. Veza čestica vode sa česticama tla i stena ostvaruje se intermolekularnim silama i površinskim, privlačnim silama (električne, osmotske, koloidalne). Ove sile su znatno veće od sile zemijine teže. Mogu dostići silu od 109Pa. Karakteristike fizički vezane vode se znatno razlikuju od slobodne vode. Njena pokretljivost je znatno manja, a zapreminska masa joj je 2g/cm3.
Više slojeva molekula vode mogu biti apsorbovani. Intenzitet međumolekularnih sila naglo opada sa povećanjem rastojanja. Tanak sloj apsorbovane vode oko zrna tla deluje destabilizirajuće na tlo, jer ima efekat podmaza. Ovaj fenomen umnogome određuje fizičke i otporno - deformabilne karakteristike tla. Apsorbovana voda smanjuje fizičke i otporne karakteristike tla. Fizički vezana voda se iz tla odstranjuje sušenjem na temperaturi od 300°C.
Hemijski vezane vode
Hemijski vezane vode nalaze se u mineralima od koje je tlo sačinjeno. One se u mineralima javljaju u vidu molekula iii jona (H+, OH-). Molekuli hemijski vezane vode čvrsto su povezani intermolekulamim silama sa molekulima drugih jedinjenja koja sačinjavaju minerale. Hemijski vezane vode nastale su u mineralima fizičkim i hemijskim procesima, spajanjem slobodnih molekula vodonika i kiseonika u tlu pod dejstvom visokih temperatura i velikih pritisaka, tj. pri izuzetno jakim tektonskim poremećajima. Pri istim usiovima, ove vode se i oslobađaju iz minerala i pojavljuju se u utrobi zemlje. Ovih voda u podzemlju, u količinskom smislu, ima vrlo malo, pa nisu opasne po građevinske objekte, sem ukoliko ne poseduju mineraie koji negativno utiču na materijal od koga su sačinjeni temelji građevinskih objekata.

Voda u vidu vodene pare
U zoni aeracije litosfere, voda se može nalaziti u vidu vodene pare. Vodena para dopire iz atmosfere u površinske delove zemljine kore, obično sa vazduhom. Dubina prodiranja vodene pare u zemljinu koru može biti nekoliko metara. Prodiranje vodene pare u zemljinu koru vrši se pukotinama i porama tla i stena. Oslobađanje vode iz vodene pare vrši se kondenzacijom u tlu, kada se topla vodena para nađe u hladnijim zonama zemljine kore. Na taj način se dobija voda u tlu. Ona se transformiše u slobodnu, kapilarnu, ili fizički vezanu vodu. Količina vode u zemljinoj kori, koja je nastala iz vodene pare, nije zanemarljiva. Ruski naučnik Lebedev dokazao je da se putem kondenzacije vodene pare na površini zemlje može stvoriti vodeni sloj debljine od 16-97mm.
Vode u tlu u vidu leda
Poznato je da se na površinskim delovima zemljine kore, do izvesne dubine i pod određenim klimatskim usiovima, voda koja je dospela iz atmosfere poniranjem ili vodenom parom, zamrzava. Dubina do koje ta voda zamrzava, naziva se dubinom dejstva mraza. Tada voda menja svoje agregatno stanje; iz tečnog prelazi u čvrsto, koje nazivamo ledom. Zamrznuta voda u tlu ili stenama, tj. led, javlja se u vidu sočiva, slojeva i žica. Stvaranjem leda u zamljinoj kori dolazi do povećanja zapremine tla, što se manifestuje izdizanjem. Poznato je da se zamrzavanjem vode u tlu njena zapremina poveća za 9-11%. Deformacije u zoni površine terena naročito su velike kada se zamrzavanje vode vrši u sitnim porama tla i stena, tj. kod glina, prašina i stena, dok kod peskova i šljunkova ne postoji fenomen deformisanja terena usled stvaranja leda. Voda se u krupnijim porama zamrzava, kao na površini terena, na 0°C, a kod sitnijih pora pri nižim temparaturama, obično na -5°C. Zamrzavanje vode u zemljinoj kori, pored pora i prslina, moguće je i na površini čestica tla.
Dubina zamrzavanja vode u tlu, od 30°N (30° severne geografske širine), pa do 60°N, pri nadmorskim visinama do 2000m, kreće se od 0,20 do 2.00ml. Ispod geografske širine od 30°N, pri normalnim nadmorskim visinama, nema zamrzavanja vode u tlu, a pri geografskim širinama većim od 60°N, stanje je stalnog permafrosta. Površinski deo zemljine kore koji je podložan zamrzavanju i kravljenju vode u tlu, naziva se aktivnom zonom dejstva mraza. Ova zona naročito je važna za fundiranje građevinskih objekata. Svi građevinski objekti moraju biti fundirani ispod te zone.
Zone pod ledom široko su rasprostranjene u gornjem delu litosfere; one učestvuju u stvaranju stalnih, višegodišnjih, sezonskih i kratkotrajnih (časovnih i dnevnih) zona zamrzavanja. Kravljenjem leda u tlu stvara se podzemna voda. Ona se najčešće javlja u vidu Slobodne vode, zatim kapilarne i vezane vode. U pojedinim delovima zemlje, gde klimatski uslovi provociraju velike snežne padavine i mraz, topljenje leda u tlu može proizvesti velike količine podzemne vode, a one mogu da ugroze građevinske objekte.
Fosilne mrtve vode u litosferi
Ove vode smo već opisali pri objašnjenju vidova nastanka podzemnih voda. One se nalaze zarobljene u donjim delovima litosfere. Možemo zaključiti da one nemaju uticaja na građevinske objekte, pa nisu predmet razmatranja ove knjige.



























;