Povećanje međuprostora preko 15mm između stakala, zbog pojave konvekcije, gubi uticaj slabe provodljivosti vazduha koja je karakterisična za slojeve vazduha debljine do 6mm. Iz tog razloga neekonomično je proizvoditi termoizolaciona stakla sa međuprostorom većim od 15mm.
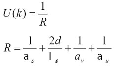
Toplotna izolacija izolacionog stakla ili bilo koje druge pregrade definiše se koeficijentom prolaza toplote U(k) (W/m²K)

pri čemu je:
R = otpor prolazu toplote kroz termoizolaciono staklo sa jednim međuprostorom
αs = koeficijent prolaza toplote sa vazduha na staklo spolja (23 W/m²K prema EN 673)
αu = koeficijent prolaza toplote sa stakla na vazduh unutra (8 W/m²K prema EN 673)
d = debljina stakla u m
λst = koeficijent toplotne provodljivosti stakla (0,8 W/m4)
av = koeficijent prolaza toplote kroz vazdušni međuprostor (za međuprostor od 16mm ispunjen vazduhom koji ima koeficijent provodljivosti λv = 0,026 W/mk iznosi av = 6,3 W/m²K

Što je U(k) koeficijent prolaza toplote manji, to je bolja toplotna izolacija pregrade odnosno stakla. Prolaz toplote kod običnih i termoizolacionih stakala predstavljen je u šemi br. 1.
Komentar gornje šeme svodi se na dva osnovna zaključka:
1 – temperatura površine stakla prema unutrašnjosti rasta u smislu korišćenja izolacionog stakla sa jednim a još više sa dva međuprostora, mogućnost pojave
kondenzacije se u tom smislu smanjuje.
2 – razlika temperature površine stakla, sobne temperature smanjuje se primenom izolacionih stakala, pa je i veća mogućnost korišćenja radnog prostora u neposrednoj bizini prozora, jer ne dolazi do neprijatnog strujanja vazduha u smislu hladno – toplo.
Prolaz toplote kroz termoizolaciono staklo defi nisan je sa ovim osnovnim činocima:
- prelaz toplote sa vazduha na staklo i sa stakla na vazduh (αs, αu)
- provođenje toplote kroz oba stakla (λst)
- provođenje, konvekcija i zračenje kroz vazdušni međuprostor (av).

Dok su prva dva činioca potpuno defi nisana već navedenim vrednostima, treći činilac obuhvata prelaz toplote kroz međuprostor termoizolacionog stakla
- provođenjem kroz delimično nepokretne slojeve vazduha, naročito kada je debljina međuprostora mala (do 6mm)
- konvekcijom naročito kada se debljina međuprostora povećava preko 10mm i zračenjem kojim putem se prenosi najveći deo toplote
Analizom ovih činilaca postaje jasno da se povećanjem međuprostora preko 15mm (vidi dijagram) zbog pojave konvekcije, gubi uticaj slabe provodljivosti vazduha koja je karakterisična za slojeve vazduha debljine do 6mm. Iz tog razloga neekonomično je proizvoditi termoizolaciona stakla sa međuprostorom većim od 15mm.
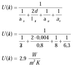
ANALITIČKI NAČIN IZRAČUNAVANJA KOEFICIJENTA PROLAZA TOPLOTE U(K)
Izračunajmo koeficijent prolaza toplote U(k) za termoizolaciono staklo 4+16+4 punjeno suvim vazduhom.


Eksperimentalni rezultati U(k) dobijeni merenjem pokazuju vrednost 2,7 odnosno 2,8 W/m²K. Za orijentacione proračune ovakav način je veoma prihvatljiv.
Ubacivanjem smeše specijalnih gasova (Ar, SF6) u međuprostor, mogu se dobiti termoizolaciona stakla sa 10 – 15 % nižim vrednostima U(k) – koeficijenta prolaza toplote. Ovi gasovi imaju koeficijent toplotne provodljivosti niži nego vazduh (λAr = 0,0180 W/mK, λSF6 = 0,013 W/mK, λv = 0,026 W/mK). Treba naglasiti da zbog zaštite životne sredine EU ne predlaže korišćenje gasa SF6 (koji je izuzetno dobar za povećanje zvučne izolacione moći).
Uobičajeno je da se za proračune uzimaju sledeće vrednosti U(k) – koeficijenta prolaza toplote za različite vrste prozora, a u svemu prema važećem JUS U.J5. 600. Ovaj standard je posledica težnji da se odrede minimalni tehnički uslovi koje treba zadovoljiti pri projektovanju i građenju zgrada, a u skladu sa povećanim zahtevima za uštedu energije u sve prisutnijoj energetskoj krizi.
Prozori i vrata moraju imati koeficijent prolaza toplote U(k) (samo za transmisijske gubitke) manje od vrednosti datih u tabeli 3. Prozorima se smatraju i fi ksne zastakljene površine. S tim vrednostima koeficijenta U(k) smeju se ugrađivati prozori samo onda kad ukupna ostakljena površina ne prelazi 1/7 površine prostorije. Prozori većih dimenzija smeju se ugrađivati uz uslov da prosečna vrednost koeficijenta U(k) predmetnog zida s prozorom ne bude veća od prosečne vrednosti koeficijenta U(k) izračunate za ukupnu ostakljenu površinu prozora od 1/7 površine prostorije sa utvrđenim vrednostima koeficijenta U(k) iz tabele 1 i 3.

Mada nije sasvim jasno iz standarda, koju najveću dozvoljenu vrednost U(k) prolaza toplote zastakljenih fasadnih otvora treba usvojiti, moguće je uzeti najveću vrednost U(k) iz grupe 3 tabele 3 U(k) = 3,8 W/m²K. Naravno, imajući u vidu uštedu energije i kasnije niže troškove grejanja u eksploataciji zgrade, projektantima ostaje mogućnost primene bilo kojeg prozora sa nižom vrednošću U(k) iz tabele 3 pomenutog JUS-a.
Iz napomene uz tabelu 3, JUS U.J5. 600 vidimo da se učešće prozorskog okvira kreće od 15 % – 25 % u jednom prozoru. Jasno je da i izbor prozorskog okvira utiče na bolje, odnosno niže vrednosti U(k). U tom smislu preporučljivi su prozorski ramovi od drveta, plastike ili toplotno izolovanih Al-profila (grupe 1 i 2) tabele 3. Treba naglasiti da su se propisi u EU u zadnjih dvadeset godina pooštravali posebno u smislu smanjenja koeficijenta prolaza toplote U(k). U EU se može proizvoditi prozor sa koeficijentom prolaza toplote U(k) ≤ 1,4 W/m²K. U nekim zemljama EU (Slovenija, Nemačka, Švedska) uslovi su rigorozniji i taj koeficijent mora biti
U(k) ≤ 1,2 W/m²K.
Analizom naše regulative i regulative EU može se lako konstatovati da se na našoj regulativi veoma malo radi iako se zna da se ogromna energija čak i 50 % troši za zagrevanje stanova i pripremu sanitarne vode.
| Tabela broj 3, JUS U.J5. 600 |
| Red. broj | OSTAKLJENJE | Koeficijent prolaza toplote U(k) u W/m²K | ||
| Materijal okvira – grupe | ||||
| 1 | 2 | 3 | ||
| (npr. drvo, PVC ili kombinovano) λ < 0,3 W/mK | (npr. toplotno izolovani aluminijumski i čelični profili 0,35 < λ < 1,2 W/mK | (npr. aluminijum, čelik i beton λ > 1,2 W/mK | ||
| 1. | Jednostruki sa dvostrukim izolirajućim staklom (6mm međuslojnog vazduha) | 3,3 | 3,5 | 3,8 |
| 2. | Jednostruki sa dvostrukim izolirajućim staklom (12mm međuslojnog vazduha) | 3,0 | 3,3 | 3,5 |
| 3. | Jednostruki sa trostrukim izolirajućim staklom (12 x 12mm međuslojnog vazduha) | 1,9 | 2,1 | 2,3 |
| 4. | Jednostruki sa spojenim krilima (krilo na krilo) | 2,8 | 3,0 | 3,3 |
| 5. | Jednosruko sa spojenim krilima (sa dva izolirajuća stakla) | 2,0 | 2,6 | 2,8 |
| 6. | Jednostruki sa spojenim krilima (sa dva izolirajuća stakla) | 1,7 | 2,0 | 2,3 |
| 7 | Dvostruki sa razmaknutim krilima | 2,6 | - | - |
| Napomena: Vrednosti U(k) vrede za prozore površine < 5.0 m² sa učešćem okvira < 25% ≥ 5.0 m² sa učešćem okvira < 15%, i za vrata površine - 2,0 m² sa učešćem okvira < 25% | ||||
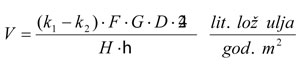
PRORAČUN O UŠTEDAMA NA GREJANJU
Osnovna relacija proračuna koliko ćemo litara ulja za loženje uštedeti godišnje po 1m² prozora koristeći razne vrste stakla i prozora glasi:

gde je:
k1 = koeficijent prolaza toplote prozora iz tabele 3 (3,0 W/m²K), sa izolacionim staklom (4 + 12 + 4)mm.
k2 = koeficijent prolaza toplote, zahtevi u Nemačkoj, 1,2 W/m²K, sa izolacionim staklom 4 + 15 + 4 Low–E punjeno argonom.
F = površina prolaza (1m² prozora)
G = stepen temperature pomnožen sa danima grejanja koji se predviđaju za to podneblje (Δt = 15,3 ºC je razlika prosečne temperature u prostoriji 20 ºC i
prosečne spoljašnje temperature 4,7 ºC, prostorija se greje 180 dana godišnje koliko iznosi broj dana grejanja u Beogradu).
D = faktor preračunavanja lož ulja l/kg (1,19)
H = kalorična vrednost u Wh/kg (11832 Wh/kg)
η = stepen korisnog dejstva uređaja za grejanje (0,75)
![]()
Za jednu zgradu koja ima 500 m² prozora godišnja ušteda iznosi 500 • 15,95 = 7 975 lit lož ulja god Pri ugradnji izolacionog stakla preko 1000mm nadmorske visine, kao i transporta stakla preko te visine, moraju se ugraditi ventili za izjednačenje pritiska u izolacionom staklu. Na tim nadmorskim visinama dolazi do stvaranja nadpritiska u međuprostoru izolacionog stakla zbog smanjenog atmosferskog pritiska.
Posebna uputstva
- Izolaciona stakla se ne smeju naknadno rezati, bušiti ili na drugi način menjati oblik pa zatim ugrađivati
- Konstrukcija rama mora biti podešena težini izolacionog stakla
- Ukoliko se izolaciono staklo ostavlja u blizini peći ili grejnog tela, mora se obezbediti minimalno rastojanje od 30 cm
- Pritisak vazduha u međuprostoru izolacionog stakla određen je nadmorskom visinom, vremenskim prilikama i temperaturom vazduha.
Iz tog razloga moguće su manje deformacije stakla u konkavne ili konveksne površine stakla, već prema trenutnim klimatskim uslovima i to u slučaju besprekorne aptivenosti ivične veze. Ova optička iskrivljenja ne mogu biti predmet reklamacije, jer nije smanjena osnovna funkcija izolacionog stakla termoizolacije.
Punjenje međuprostora gasom
Ubacivanjem teških gasova (SF6, Ar) u izolaciono staklo postiže se smanjenje zvučnog pritiska u međuprostoru, jer su talasi savijanja stakla, koje je izloženo zvuku, kraći od onih koji se javljaju u gasu koji se nalazi u međuprostoru izolacionog stakla umesto vazduha. Pri ovome ne treba zaboraviti činjenicu da je prednost teških gasova nesumnjiva izolacija. U EU se radi poboljšanja termičkih karakteristika izolacionih stakala koristi kripton. Iz ekoloških razloga gas SF6 se zabranjuje.
Ugradnja – zastakljivanje
Sva navedena rešenja, međutim, isključivo su zavisna od načina ugradnje, odnosno ostvarivanja što boljeg zaptivanja između stakla i rama. Postojanje i najmanjeg otvora, sitne pukotine, dovodi do stvaranja “zvučnog mosta” koji omogućuje da zvuk neželjeno procuri u prostoriju koju mi želimo zvučno da zaštitimo i izolujemo. Jedan prozor sa nominalnih 35 dB zvučne zaštite pokazaće pri merenju na licu mesta, 20 – 25 dB ukoliko zaptivanje nije dobro izvedeno.
Konstrukcija prozorskog rama od drveta, plastike ili aluminijuma, zatim roletne, izvođenje veze između građevinskog otvora i prozorskog okvira, primena trajno-elastičnih zaptivnih masa, od bitnog su uticaja na ukupnu vrednost zvučne izolacije prozora. Za ostvarenje optimalnog i ekonomičnog rešenja preporučljiva je saradnja projektanata, investitora i proizvođača stakla, i to još u fazi projektovanja.
IZOLACIONO STAKLO I SUNČEVO ZRAČENJE
Zbog relativno visoke U(k), vrednosti prozor se smatra kao “slaba tačka” jedne građevine što se tiče tehnike zaštite toplote. Staklo koje se nalazi u prozoru je jedini poznati providni građevinski materijal koji se može koristiti. Spektar sunčevog zračenja koje dolazi na zemlju sastoji se od:
- ultraljubičastog područja talasne dužine do 400 nm
- vidljivog područja talasne dužine od 400 nm do 760 nm
- infracrvenog područja (područje toplotnog zračenja) talasne dužine od 760 do 3000 nm
Staklo skoro potpuno zadržava ultraljubičaste zrake, vidljive propušta (90 – 93 % jednostruko staklo, 80 – 83 % izolaciono staklo), a takođe i infracrvene ili toplotne zrake (80 – 90 %).

Dve tačke gledišta uglavnom služe kao osnova prilikom razmatranja i donošenja ocene o energetskom značaju prozora: prvo gubitak toplote transmisijom zimi, a drugo ulaženje sunčevih zrakova, koji kod velikih staklenih površina leti mogu da dovedu do preterano visokih temperatura vazduha u prostorijama što zahteva efi kasne mere za zaštitu od sunca.
Toplota koja se dobija zračenjem kroz jedan prozor je mnogo veća nego toplota koja se dobija kroz netransparentan spoljašnji zid ili tavanicu. Zbog toga je neophodno potrebno i pravilno da se prilikom donošenja ocene o prozoru što se tiče toplotne tehnike tj. potrošnje toplote, obavezno uzme u obzir i koje on ima osobine i pogodnosti u vezi sa zračenjem.
lp + qu = g
l – zraci koji upadaju na staklo
lr – zraci koji se reflektuju
lp – zraci koji su prošli staklo
la – zraci koju su apsorbovani
qu, qs – odpuštanje toplote od strane unutrašnjeg i spoljašnjeg stakla zbog apsorbovane toplote koja potiče od zračenja
SF = g – stepen propuštanja celokupne energije
Ukoliko uzmemo propuštanje zrakova, refl eksiju i apsorpciju u odnosu na zrake koji udaraju u staklo, onda dobijamo odnos čiji je zbir
ir + ip + ia = 1 (1)
Gubitak toplote Q jedne prostorije kada je u pitanju prozor sa izolacionim staklom, dobija se kada uzmemo u obzir sunčevo zračenje iz jednačine:
q = U(k) • (tu – ts) – gJ (2)
J – intenzitet zračenja W/m²
tu, ts i temperatura vazduha u prostoriji, odnosno spoljnjeg vazduha, ºC.
Ukoliko nema sunčevog zračenja – znači kada je J = 0 – ova jednačina prelazi u poznatu jednačinu za izračunavanje potrebne toplote.
q = U(k) • (tu – ts) (3)
Znači gubitak u toploti transmisijom kod prozora zbog temperaturne razlike između vazduha u prostoriji i spoljašnjeg vazduha smanjuje se kada postoji sunčevo zračenje, odnosno umesto gubitka toplote imamo dobitak, zavisno od stepena prolaza celokupne energije kroz staklo, od sunčevog zračenja i od temperaturnih odnosa (vazduh u prostoriji i spoljašnji vazduh). Iz jednačine (2) može da se izračuna, pri kojem intenzitetu sunčevog zračenja može da se kompenzuje gubitak toplote zbog transmisije dobitkom toplote, koja je uslovljena zračenjem.
Ovaj intenzitet sunčevog zračenja naziva se „graničnom vrednošću“ Jg.
Jg= U8k)/g (tu-ts) (4)
Kod intenziteta zračenja koja su veća od ove granične vrednosti postiže se dobitak u toploti zahvaljujući prozoru. U tom slučaju prozor deluje kao sunčev kolektor. Iz jednačine (4) se jasno vidi, da je granična vrednost utoliko manja ukoliko je manji odnos U(k)/g. Prema tome, dobro je da U(k) vrednost bude mala, a g–vrednost velika, ukoliko želimo da nam prozor bude sunčev kolektor.
Radi zaštite od sunčevog zračenja u prvom redu od toplotnih zrakova, koje je automatski propraćeno i većom ili manjom redukcijom svetlosti, koriste se termoapsorbujuća i termorefl ektujuća stakla koja se skoro po pravilu ugrađuju u izolaciona stakla.
| Koeficijent prolaza toplote U(k) za prozore i balkonska vrata u zavisnosti od ostakljenja i materijala okvira (transmisijski gubici) JUS U.J5. 600 (1987 god.) | ||||
| Ostakljenje | Koeficijent prolaza toplote U(k) u W/m²K | |||
| Bez okvira | Materijal okvira – grupa | |||
| 1 | 2 | 3 | ||
| Drvo, PVC ili kombinovano λ<0,35 W/mK | Toplotno izolovani aluminijumski i čelični profi li 0,35<λ<1,2 W/mK | Aluminijum, čelik i beton λ>1,2 W/mK | ||
| 1. Izolirajuće staklo >6 do ≤8mm međuslojnog vazduha (dva sloja stakla) | 3,4 | 3,1 | 3,4 | 3,7 |
| 2.Izolirajuće staklo >8 do ≤10mm međuslojnog vazduha (dva sloja stakla) | 3,2 | 3,0 | 3,3 | 3,5 |
| 3. Izolirajuće staklo >10 do≤16mm međuslojnog vazduha (dva sloja stakla) | 3,0 | 2,9 | 3,1 | 3,4 |
| 4. Dvostruko izolirajuće staklo 2 x ≥6 do ≤ 8mm međuslojnog vazduha (tri sloja stakla) | 2,4 | 2,2 | 2,7 | 3,0 |
| 5. Dvostruko izolirajuće staklo 2 x >10 do <18mm međuslojnog vazduha (tri sloja stakla) | 2,2 | 2,1 | 2,5 | 2,8 |
| 6. Dvostruko izolirajuće staklo 2 x 10 do ≤18mm međuslojnog vazduha (tri sloja stakla) | 2,1 | 2,0 | 2,4 | 2,7 |
| 7. Jednostruko sa spojenim krilima (knlo na krilo) (dva sloja stakla) | - | 2,7 | 3,0 | 3,3 |
| 8. Jednostruko sa spojenim krilima (knlo na krilo) (tri sloja stakla) | - | 1,9 | 2,5 | 2,8 |
| 9. Jednostruko sa spojenim krilima (sa dva izolirujuća stakla) (četiri sloja stakla) | - | 1,6 | 2,0 | 2,3 |
| 10. Dvostruko sa razmaknutim krilima | - | 2,4 | - | - |
| 11. Zid iz šupljikavih staklenih elemenata | - | - | - | 3,5 |
| 12. Kutija za roletne (unutrašnja) | - | - | - | 0,8 |
| 13. Spoljašnja vrata drvena i plastična | - | - | - | 3,5 |
| 14. Metalna vrata sa toplotnom izolacijom | - | - | - | 4,0 |
| 15. Unutrašnja vrata | - | - | - | 2,0 |
| Napomena: Ako je zastakljenje vrata veće od 50% površine vrata, važe vrednosti U(k) za prozor. | ||||































;